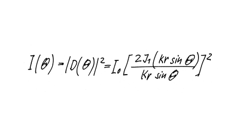
La théorie de Fraunhofer décrit la partie de la déviation de la lumière qui résulte uniquement de la diffraction.

Si la lumière rencontre un obstacle ou une ouverture, des phénomènes de diffraction et d’interférence apparaissent. Si la lumière incidente est parallèle (front d’onde plat), cela est désigné par le terme diffraction de Fraunhofer. C’est toujours le cas lorsqu’une source lumineuse se trouve à l’infi - ni ou y est en quelque sorte déplacée par une lentille. Lorsque les particules sont de taille suffi sante, la déviation de la lumière est dominée par la diffraction, ce qui permet d’utiliser la théorie de Fraunhofer en mesure granulométrique jusque dans des plages de quelques microns. Un des grands avantages de cette théorie est qu’il n’est pas nécessaire de disposer d’informations concernant les propriétés optiques du matériau analysé.

Logiciel FRITSCH
Le véritable résultat d’une mesure granulométrique résulte de l’analyse que fournit le logiciel FRITSCH livré avec la machine. Deux théories d’analyse classiques sont disponibles, à utiliser selon les propriétés des particules concernées et le cahier des charges : la théorie de Fraunhofer, pour des particules de grande taille dont les paramètres optiques ne sont pas connus de manière précise, et la théorie de Mie pour les plus petites particules dont les paramètres optiques sont connus. Les deux théories sont facilement sélectionnables dans le logiciel FRITSCH.